菜单
CRO Services

Drug Development Expertise Empowering Research Services for Biologics

Fab, VHH & ScFv Antibody Fragment Production Services


Premium-Quality Fab, VHH & ScFv Fragments and Bispecific Antibody Formats

Antibody fragments like Fab, VHH, and scFv play a critical role in antibody drug development whether as standalone therapeutic agents or as building blocks of bispecific antibody constructs. However, scalable production with optimal purity, yield, throughput, and stability remains a challenge.

 

At WuXi Biologics, our team uses the proprietary WuXian Transient™ platform for high-throughput, high-titer CHO production of Fab, VHH & scFv antibody fragments and their related bispecific antibodies from small-scale (3 mL) to gram-level (100 L) production within 3-4 weeks. Our expertise extends to tailored engineering strategies, such as deblocking for Fab’ production, stabilizing scFv, reformatting IgG to scFv, and predicting ProA binding for VHH purification.

High-titer, high-throughput CHO production of Fab, VHH, and scFv antibody fragments, ensuring premium quality in standalone molecules and bispecific antibody formats from 3 mL to 100 L in 3-4 weeks.

Key Features of Fab, VHH & ScFv Antibody Fragment Production Services:

  • High-throughput, High-titer CHO transient expression
  • Production scale ranging from 3 mL to 100 L, yielding milligrams to grams
  • Tailored engineering & production approaches with 1-3 step purification

 

Major antibody fragments including Fab, Fab’, Fab(ab’)2, ScFv, and VHH.

Figure A: Major antibody fragments, including Fab, Fab’, F(ab’)2, VHH and ScFv.

Case Study #1: High-Throughput, High-Titer Production of Fab and VHH Antibody Fragments

We excel in HTP CHO production of antibody fragments (Fab and VHH), leveraging an ultra-high titer CHO transient expression system.

Case study highlighting high-throughput Fab and VHH antibody fragment expression in CHO cells.

Figure A: Our platform demonstrated HTP production of antibody fragments in 1 mL cultures using 96-well deep-well plates (DWP). Specifically, we achieved average yields of 0.55 mg for 557 Flag-Fabs and 0.3 mg for 100 His-VHH.

Case Study #2: Scale-Up, High-Purity Production of Fab’ in 1 L Transient CHO

In this case study, we produced a Fab’ fragment from 1 L CHO cells, using our high-titer WuXian Transient™ CHO expression platform.

Case study highlighting SEC-HPLC and Intact Mass results for 400 mg Fab’ fragment from 1 L CHO.

Figure A: We expressed a Fab’ fragment in 1 L transient CHO cells. Following AC, deblocking, and CEX purification, 400 mg Fab’ was obtained with the elimination of adduct formation. The product achieved impressive purity confirmed by SEC-HPLC and Intact Mass.

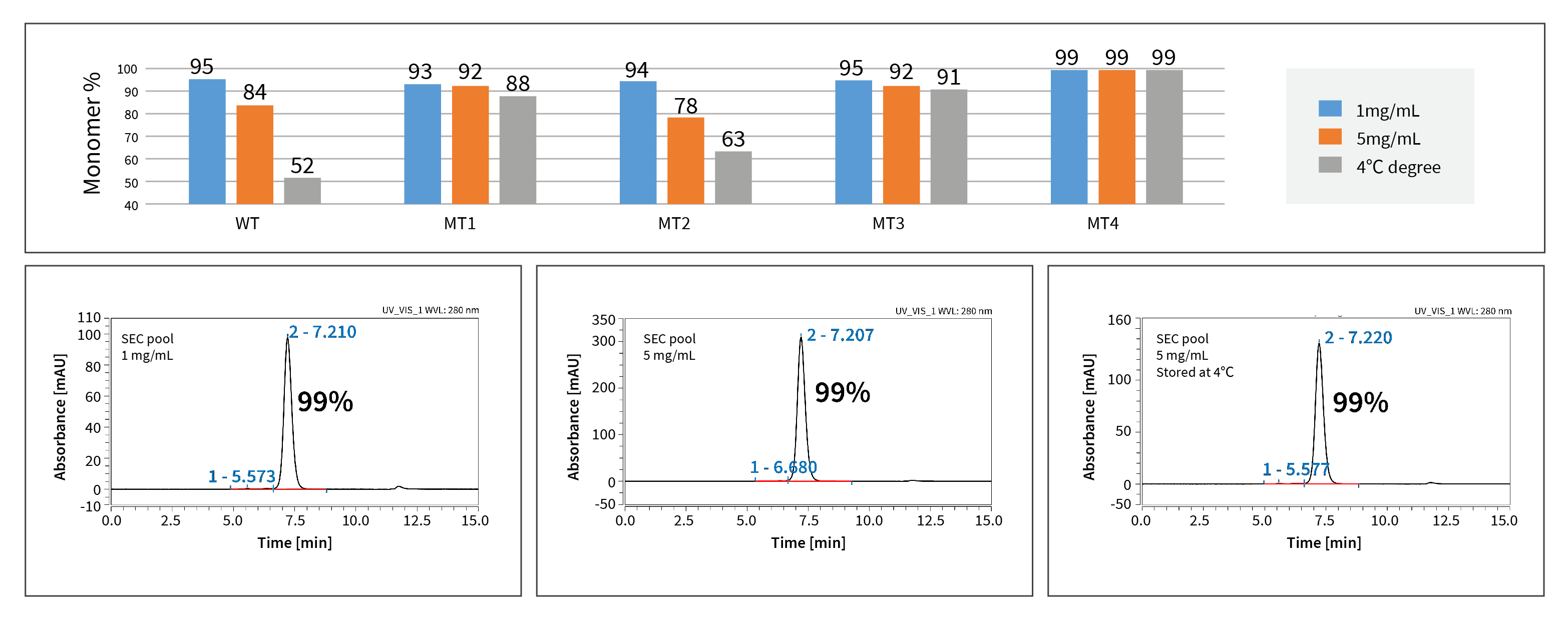
Case Study #3: Achieving 99% Purity for ScFv Production in High-Concentration, Low-Temp Storage

In this case study, a scFv fragment was engineered by introducing a disulfide bond to mitigate severe aggregation issues. Remarkable stability was achieved even after storage at 4°C.

Case study showcasing scFv antibody stabilization with engineered disulfide bond.

Figure A: We introduced a disulfide bond at the VH-VL interface. This resulted in enhanced stability and reduced risk of dissociation, dimerization, and aggregation.

SEC-HPLC graphs showing 99% scFv purity at high concentration, extended 4°C storage conditions.

Figure B: Comparing several scFv mutations in the pilot study, we achieved a purity of 99% for the mt4 molecule, verified through SEC-HPLC analysis. When stored at a concentration of 5 mg/mL, the purity of mt4 remained consistent at 99%. Notably, this purity persisted even at extended 4°C storage, indicating minimal tendency for scFv molecules to form aggregates.

Frequently Asked Questions

Q: What are the typical yields for Fab, VHH, and scFv production?

A: Our WuXian Transient™ platforms consistently deliver high-titer expression for all antibody fragments: 

  • Regular human Fab: 500 mg/L to 1 g/L 
  • His-ScFv: 100 to 300 mg/L 
  • His-VHH: ~500 mg/L 
  • Fc-VHH: Comparable to regular IgG 

For reference, most regular human IgGs produced in our CHO transient system yield approximately 1 to 1.5 g/L. 

Q: Is it easier to produce human/rabbit/rat Fab?

A: Producing human Fab is relatively straightforward, with consistently higher yields. However, for other species such as rat or rabbit, yields may be lower, and purification can be more challenging due to limited resin options. In these cases, incorporating a His or Flag tag for purification is recommended. 

Q: What are the advantages of developing antibody fragments over the full-length antibodies as therapeutics?

A: Antibody fragments offer several advantages, including improved tissue penetration due to their smaller size, increased engineering flexibility, and reduced immunogenicity. They also serve as versatile building blocks for bispecific antibodies, facilitating the development of innovative therapeutic modalities. However, antibody fragments generally have a shorter half-life, which may be beneficial for certain applications. If extending the half-life is important, incorporating an Fc region or using a bispecific antibody format could be considered. 

Q: Why is deblocking important during the production of Fab’?

A: During Fab’ expression in CHO cells, adducts can form when cysteine or glutathione from the culture medium binds to the Fab’. Deblocking involves using a reducing reagent to remove these adducts, ensuring that the cysteine residues in the Fab’ are free and available for conjugation. 

Q: For antibody fragment expression, which expression system is considered the best?

A: Compared to E. coli, our ultra-high titer CHO expression system offers superior yields and significantly reduced endotoxin levels, making it the preferred choice for producing antibody fragments. Additionally, CHO cells are critical for expressing bispecific antibodies, which are often built from antibody fragments. 

Q: What purity percentage is acceptable for Fc-VHH after affinity purification?

A: A purity greater than 95% after affinity purification is considered excellent. However, the acceptable purity may vary depending on the quantity and properties of the target molecules, with a typical minimum threshold set at 50%. Other factors such as titers, resin recovery, and stability should also be considered. A comprehensive Micro Developability package is recommended to assess the candidate’s suitability for further development into CMC. 

Q: Among Fab, VHH, and scFv, which antibody fragment has the most therapeutic applications?

A: Each fragment has unique characteristics that make it suitable for specific therapeutic applications. Leveraging our expertise, we can assist in refining your therapeutic molecules to enhance their quality and efficacy. Notably, our expertise in scFv molecular design allows us to address aggregation challenges and facilitate the conversion of regular IgGs into scFvs with improved developability. 

Q: What makes the linker design important in the scFv case study, and what's the principle behind it?

A: If a linker is derived from a phage display campaign, it’s typically appropriate for the application. However, when converting a regular IgG into an scFv, the linker must be carefully designed to ensure proper spacing and flexibility between the VH and VL domains. This design is crucial to prevent aggregation and maintain the structural integrity of the scFv. 

Your Project. Our Expertise.